一、概述
一体化温度变送器(以下简称“温度变送器”)通常由传感器和信号转换器两部分组成。传感器包括热电阻和热电偶两种,标准化输出信号主要为4-20mA(或1V-5V)的直流电信号。

1、测量依据
JJF1183-2007《一体化温度变送器校准规范》。
2、环境条件
环境温度:15℃~35℃;相对湿度<85%。
3、测量方法
采用比较检测法,本单位使用的标准器为一等标准铂电阻温度计标准装置。将温度变送器的传感器和标准铂电阻插入同一恒温槽内,供给变送器24V电源。在测量范围内平均取5~7个点,并从测量下限温度开始,自下而上依次测量输出值。
二、测量模型(含有温度显示的仪表)
x=tx-ts
式中:x为被校温度变送器读数误差值,℃;tx被校温度变送器显示值,℃;ts为标准器(一等标准铂电阻温度计)示值,℃。
三、举例
用一等标准铂电阻温度计标准装置,采用比较法校准一体化温度变送器。将温度变送器的传感器和标准铂电阻插入同一恒温槽内,供给温度变送器24V电源。从测量范围的下限温度开始,自下而上依次测量。在被校点温度足够稳定后,轮流对标准铂电阻和变送器的输出进行反复6次读数。
选取被校对象为ROSEMOUNT3144P型热电阻作为传感器的温度变送器,其测量范围为0℃~100℃,输出电流为4-20mA,显示温度值和电流值。检测点选为0℃、25℃、50℃、75℃和100℃。下面以被校温度变送器50℃点的示值误差值为例进行不确定度评定。
四、一体化温度变送器不确定度评定
1、标准器引入的不确定度ts
(1)标准铂电阻温度计溯源引入的不确定度μ1
根据一等标准铂电阻温度计检定证书数据,50℃时一等标准铂电阻温度计的标准不确定度为u1=0.0012℃。
(2)标准铂电阻温度计水三相点变化引起的不确定度u2
取标准铂电阻温度计使用前后Rtp变化为3mK,按均匀分布,标准不确定度为u2=0.003/√3=0.0017℃。
(3)标准铂电阻温度计配电测仪器引入的不确定度u3
所选用Fluke1590型电桥的相对误差不超过6×10-6,一等标准铂电阻温度计以电阻的形式计算实际温度。50℃时标准器的标称值为30Ω,计算:u3=6×10-6×30×10/√3=0.0010℃
2、被校温度变送器引入的不确定度tx
(1)被校温度变送器显示分辨力引起的不确定度μ4
计算时被校温度变送器显示分辨力引起的误差限为分辨力的1/2,即0.0005℃,按均匀分布计算,标准不确定度为u4=0.0005/√3=0.0003℃。
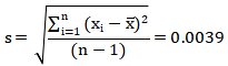
(2)被校温度变送器示值重复性引起的不确定度u5
温度计在50℃重复测量6次读数如表1所示。
实验测得
,则u5=s=0.0039℃
表1 温度变送器在50℃重复测量6次的读数

3、ts与tx比较引入的不确定度
(1)时间常数与恒温槽波动引入的不确定度u6
标准器与被校变送器时间常数不一致主要表现在恒温槽波动性上,恒温水槽在50℃时,10min标准恒温水槽波动度为±0.004℃,按半区间计入,取恒温槽波动±0.004℃,反正弦分布,标准不确定度为u6=0.004/√2=0.0029℃。
(2)恒温槽温度场不均匀引入的不确定度u7
标准恒温水槽在50℃时,均匀度为0.003℃,按均匀分布,标准不确定度为u7=0.003/√3=0.0018℃。
4、合成不确定度及扩展不确定度计算
综上分析所述,用一等标准铂电阻温度计校准温度变送器(50℃)合成不确定度分量:
①标准器溯源的不确定度u1=0.0012℃;
②标准器Rtp变化引入的不确定度u2=0.0017℃;
③电测设备引入的不确定度u3=0.0010℃;
④被校变送器显示分辨力引入的不确定度u4=0.0003℃;
⑤被校变送器重复性引入的不确定度u5=0.0039℃;
⑥时间常数与恒温槽波动引入的不确定度u6=0.0029℃;
⑦恒温槽不均匀引入的不确定度u7=0.0018℃。
将上述相对不确定度合成得:

取包含因子k=2,则u=k×uc=0.006×2=0.02℃
五、结束语
由计算结果可以看出,本次用一等铂电阻标准装置检测显示分辨力为0.001℃一体化温度变送器的测量结果中,温度变送器示值重复性是该方法不确定度的主要来源。对于使用其他标准器检测低分辨力的一体化温度变送器来说,须按检测时情况另行分析。
作者:(中国计量科学研究院)生莹、张哲
